Send
Close Add comments:
(status displays here)
Got it! This site "robinsnyder.org" uses cookies. You consent to this by clicking on "Got it!" or by continuing to use this website. Note: This appears on each machine/browser from which this site is accessed.
Graphical models
1. Graphical models
Graphical models are a visual form of Bayesian networks that can be developed to solve problems.
This huge area of research is cutting edge, complex, and not always easily used.
The book "
Probabilistic Graphical Models". by Daphne Koller and Nir Friedman, is a very good reference but is over 1200 pages long and not always easy reading and/or understanding.
2. Daphne Koller
Daphne Koller has some good YouTube videos on the subject of Probabilistic Graphical Models that cover parts of the introductory material in her book.
Daphne Koller (Hebrew: דפנה קולר ; born August 27, 1968) is an Israeli-American Professor in the Department of Computer Science at Stanford University and a MacArthur Fellowship recipient. She is one of the founders of Coursera, an online education platform. Wikipedia, 2020-04-27.
3. Graphical model concepts
Let us look at some simple graphical model concepts.
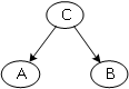
Consider
A,
B, and
C as three distinct subsets of nodes an a
DAG (Directed Acyclic Graph).
For nodes,
A,
B, and
C, the joint probability is as follows.

Note the different conjunction or intersection operators that have the same meaning: "
," (comma), "
∧" (and), "
&" (and), "
∩" (intersection).
4. Ways
The joint probability of nodes A, B, and C can be determined from the graphical model, which implicitly contains independence relations.
There are three primary ways in which distinct A, B, and C can be related. Other ways can be reduced to these three by symmetry considerations. For each, the joint probability can be expressed.
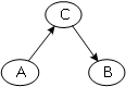
5. C to A and C to B
C to
A and
C to
B:

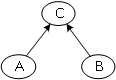
6. A to C and B to C
A to
C and
B to
C:

7. A to B to C
A to
B to
C

8. Compositional models
Graphical models can be composed to allow arbitrarily complex models to be used.
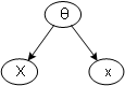
9. Generative graphical models
A graphical model provides a convenient way in which to represent problems involving probabilities so that the
Model can be inferred from the
Data.

Consider the following simple graphical model. In this diagram,
θ represents a probability distribution of X that is to be estimated.
Assume that
θ is known.
10. Machine learning
Machine learning is a collection of statistical techniques to infer models and make predictions, often in the processing of big data.
supervised
unsupervised
Everything being equal, an unsupervised method is preferred to a supervised method.
A generative model that well be considered is that of topic modeling using various methods.
11. End of page