A regular triangle is a triangle that has sides all of the same length.
Thus, all of the angles are the same, or 60 degrees since the sum of all angles in a triangle equal 180 degrees. But we are not interested in this at this time.

Start with an equilateral triangle.

All sides have the same length, say
c.

Thus, the base can be divided into two parts, called
a, where each has length of
c/2. The height
b is perpendicular to the base. Thus two right triangles are formed.
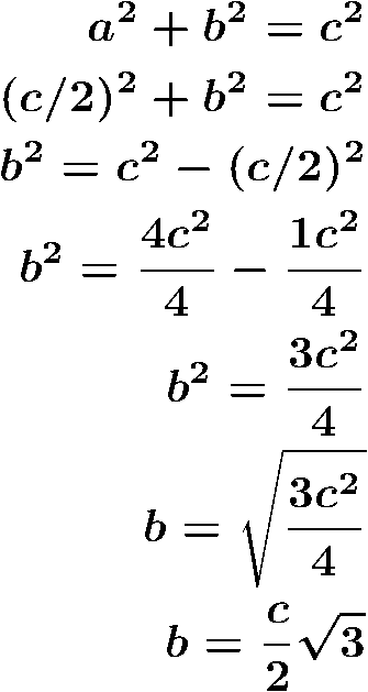
The hypotenuse of each triangle is c.
The base of each triangle is c/2 or a.
The height of each triangle is b.
The quantity
b is to be determined.

Remove the dotted lines.

We are only interested in one of the two triangles, say, the left one.

Using the Pythagorean theorem, the height of the side
b can be determined, as follows.

The length of all sides can be expressed in terms of the hypotenuse
c.
Of particular interest here is the square root of 3, or
sqrt(3), or
√3.