Send
Close Add comments:
(status displays here)
Got it! This site "robinsnyder.org" uses cookies. You consent to this by clicking on "Got it!" or by continuing to use this website. Note: This appears on each machine/browser from which this site is accessed.
Triangular numbers
1. Triangular numbers
A triangular number is the number of objects arranged in a equilateral triangle, as in the examples below.
2. Mathematical formula
The mathematical definition of a triangular number
n as
tn is follows.

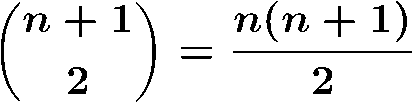
3. Combinations
The following mathematical equation is called a binomial coefficient and represents the number of distinct pairs of objects that can be selected from
n+1 objects. That is, combinations.

4. Visualizations
Below are a series of visualizations of triangular numbers starting at 1.
5. Triangular number 1

Triangular number
1 is represented using just one dot.
6. Triangular number 2

Triangular number
2 is still not very interesting.
7. Triangular number 3

Triangular number
3 has a value of
6.
8. Triangular number 4

Triangular number
4 has a value of
10.
9. Tetractys
10. Elements
11. Dimensions

The tetractys also symbolized the four dimensions of space.
1. point (one point, zero dimensions, point)
2. line (two points, one dimension, line)
3. plane (three points, two dimensions, triangle)
4. space (four points, three dimensions, tetrahedron)
12. Bowling
The pattern of triangular number
4 is used for the setup of
10 bowling pins.
13. Triangular number 5

Triangular number
5 has a value of
15.
14. Billiard balls

The pattern of triangular number
5 is used for the setup of
15 billiard balls. Note that the balls are shown in order and not following the rules for a starting configuration of any particular game of billiards.
15. Triangle peg puzzle

It is also the pattern of the
15 pin triangle peg puzzle board.

The game starts with
14 pegs and jumps are to be made until only one peg remains.
16. Triangular number 6

Triangular number
7 has a value of
21.
17. Dice

If two dice are rolled, and the number of unique ways in which the two dice can land, can be arranged in a triangle formed by triangular number
6.
18. Triangular number 7

Triangular number
7 has a value of
28 which is a perfect number.
19. Dominoes

Each of
28 different with dots from
0 to
6 can be arranged in a triangle formed by triangular number
7.
20. Triangular number 12
The Christmas song "
The twelve days of Christmas", in the final verse, has
12 lines, or parts, and
78 gifts. The number
78 is an example of a "
triangular number". The song is sung over and over.
How many total gifts?
364 plus the baby Jesus
21. Total number of gifts

The verses keep adding another line, so the song can be quite long when sung in entirety. How many gifts total?
1*12 + 2*11 + 3*10 + 4*9 + 5*8 + 6*7 + 7*6 + 8*5 + 9*4 + 10*3 + 11*2 12*1
22. Mathematical equation
If one adds all the triangular numbers from
1 to
12, when singing all twelve verses, the total number of gifts is
364. In mathematical terms, the number of gifts
g is given by the following formula.

According to some Christian traditions, the last gift, to make a gift for each day of the year (ignoring leap years), is the gift on Christmas of the birth of the baby Jesus.
23. Computer program
Of course, computer scientists or software engineers may prefer to use a program to count the gifts, such is in the following Lua program.
Here is the Lua code [#1]
Here is the output of the Lua code.
24. Lua
The Portuguese word
"lua" ≈ "moon". Lua was developed in Brazil and has a syntax based on the Pascal (and Modula-2) programming languages.
25. Computer program
Here is a list of "
gift" numbers for verses from
1 to
30 in the sense of the total gifts in the "
12 days of Christmas". Here is a Lua program to compute these value.
Here is the Lua code [#2]
Here is the output of the Lua code.
The Portuguese word
"lua" ≈ "moon". Lua was developed in Brazil and has a syntax based on the Pascal (and Modula-2) programming languages.
26. Triangular number 17
27. End of page